
¡¾Ò©Æ·Ãû³Æ¡¿Í¨ÓÃÃû³Æ£º×¢ÉäÓÃάÉúËØC
Ó¢ÎÄÃû³Æ£ºVitamin C for Injection
ººÓïÆ´Òô£ºZhusheyong WeishengsuC
¡¾³É·Ý¡¿±¾Æ·ÖØÒª³É·ÝΪάÉúËØC£¬»¯Ì¨¸¦³ÆÎªL-¿¹»µÑªËá¡£
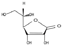
Æä½á¹¹Ê½Îª£º

·Ö×Óʽ£ºC6H8O6
·Ö×ÓÁ¿£º176.13
È«Êý¸¨ÁÏÃû³ÆÎª£º¸Ê¶´¼¡¢Ì¼ËáÇâÄÆ¡¢°ëë×°±Ëá¡¢ÑÇÁòËáÇâÄÆ¡¢ÒÒ¶þ°·ËÄÒÒËá¶þÄÆ¡£
¡¾ÐÔ×´¡¿±¾Æ·Îª°×É«»òÀà°×É«ÊèËÉ¿é×´Îï»ò·ÛÄ©»ò½á¾§ÐÔ·ÛÄ©£»ÎÞ³ô£¬¾ÃÖÃÉ«½¥±ä΢»Æ¡£
¡¾ÊÊÓ¦Ö¢¡¿ºÏÓÃÓÚ£º·ÀÖλµÑª²¡ºÍ¸÷À༱ÂýÐÔ´«È¾ÐÔ¼²²¡¼°×Ïñ°µÈ¸¨ÖúÒ½ÖΣ¬´ó¼ÁÁ¿¾²Âö×¢ÉäÓÃÓÚ¿Ëɽ֢£¬ÐÄÔ´ÐÔÐÝ¿Ëʱ¼±¾È¡£±¾Æ·Òà¿ÉÓÃÓÚÂýÐÔÌúÖж¾¡¢ÌØ·¢ÐÔ¸ßÌúѪºìµ°°×Ѫ֢µÄÒ½ÖΡ£ÏÂÁÐÇé¿ö¶ÔάÉúËØCµÄ±ØÒªÁ¿Ôö³¤£º(1)²¡È˽ÓÊÜÂýÐÔѪҺ͸Îö¡¢³¦Î¸Â·¼²²¡(³Ö¾Ã¸¹Ðº¡¢Î¸»ò»Ø³¦ÇгýÊõºó)¡¢½áºË²¡¡¢°©Ö¢¡¢À£Ññ²¡¡¢¼××´ÏÙÖ°ÄÜ¿º½ø¡¢·¢ÈÈ¡¢Ï°È¾¡¢´´ÉË¡¢ÉÕÉË¡¢ÊÖÊõµÈ¡£(2)ÒòÑϸñ½ÚÔì»òÑ¡ÔñÒûʳ£¬½ÓÊܳ¦Â·±íÓªÑøµÄ²¡ÈË£¬ÒòÓªÑø²»Á¼£¬Ìå³ÁÖè½µ£¬ÒÔ¼°ÔÚ»³Ì¥ÆÚºÍ²¸ÈéÆÚ¡£(3)ÀûÓðͱÈÍ×Àà¡¢ËÄ»·ËØÀࡢˮÑîËáÀà¡¢»òÒÔάÉúËØC×÷ΪÃÚÄòϵͳËữҩʱ¡£
¡¾¹æ¸ñ¡¿1.0g
¡¾Ó÷¨ÓÃÁ¿¡¿¼¡ÄÚ»ò¾²Âö×¢É䣬³ÉÈËÿ´Î100¡«250mg£¬ÖðÈÕ1¡«3´Î£»³à×ÓÖðÈÕ100¡«300mg£¬·Ö´Î×¢Éä¡£¾ÈÖοËɽ²¡¿ÉÓôó¼ÁÁ¿£¬Ðè×ñÒ½Öö¡£
¡¾²»Á¼·´Ó³¡¿1¡¢³Ö¾ÃÀûÓÃÖðÈÕ2¡«3g¿ÉÒýÆðÍ£Ò©ºó»µÑª²¡¡£2¡¢³Ö¾ÃÀûÓôóÁ¿Î¬ÉúËØCż¿ÉÒýÆðÄòËáÑΡ¢°ëë×°±ËáÑλò²ÝËáÑνáʯ¡£3¡¢¼±¾ç¾²Âö×¢Éä¿ÉÒýÆðÍ·ÔΡ¢ÔÎØÊ¡£
¡¾½û¼É¡¿Éв»Ã÷È·¡£
¡¾µ±¿àÖÔÏî¡¿1¡¢Î¬ÉúËØC¶ÔÏÂÁÐÇé¿öµÄ×÷ÓÃδ±»Ö¤Êµ£ºÔ¤·À»òÒ½Öΰ©Ö¢¡¢ÑÀö¸Ñס¢»¯Å§¡¢³öѪ¡¢ÑªÄò¡¢ÊÓÍøÄ¤³öѪ¡¢ÒÖÓôÖ¢¡¢ÖûÑÀ¡¢ÑªÐé¡¢ðî´¯¡¢²»ÓýÖ¢¡¢Ë¥ÀÏ¡¢¶¯ÂöÓ²»¯¡¢À£Ññ²¡¡¢½áºË¡¢Á¡¼²¡¢½ºÔÐÔ¼²²¡¡¢¹ÇÕÛ¡¢Æ¤·ôÀ£Ññ¡¢¿Ý²ÝÈÈ¡¢Ò©ÎïÖж¾¡¢Ñª¹Ü˨Èû¡¢¸ÐðµÈ¡£2¡¢¶ÔÕï¶ÏµÄ×ÌÈÅ¡£´óÁ¿·þÓý«Ó°ÏìÒÔÏÂÕï¶ÏÐÔÊÔÑéµÄÁ˾֣º(1)´ó±ãÒþѪ¿ÉÖ¼ÙÑôÐÔ¡£(2)ÄÜ×ÌÈÅѪÇåÈéËáÍÑÇâøºÍѪÇå°±»ù×ªÒÆÃ¸Å¨¶ÈµÄ×Ô¶¯·ÖÎöÁ˾֡£(3)ÄòÌÇ(ÁòËáÍ·¨)¡¢ÆÏÌÑÌÇ(Ñõ»¯Ã¸·¨)¾ù¿ÉÖ¼ÙÑôÐÔ¡£(4)ÄòÖвÝËáÑΡ¢ÄòËáÑκͰëë×°±ËáµÈŨ¶ÈÔö¸ß¡£(5)ѪÇ嵨ºìËØÅ¨¶È½µÂä¡£(6)ÄòpH½µÂä¡£3¡¢ÏÂÁÐÇé¿öÓ¦É÷Óãº(1)°ëë×°±ËáÄòÖ¢¡£(2)Í´·ç¡£(3)¸ß²ÝËáÑÎÄòÖ¢¡£(4)²ÝËáÑγÁ»ýÖ¢¡£(5)ÄòËáÑÎÐÔÉö½áʯ¡£(6)ÌÇÄò²¡(ÒòάÉúËØC¿ÉÄÜ×ÌÈÅѪÌǶ¨Á¿)¡£(7)ÆÏÌÑÌÇ-6-Á×ËáÍÑÇâø²»×ãÖ¢¡£(8)³àÉ«²¡¡£(9)ÌúÁ£Ó×ϸ°ûÐÔѪÐé»òµØÖк£ÑªÐé¡£(10)ÁÐκìϸ°ûѪÐé¡£4¡¢³Ö¾Ã´óÁ¿·þÓúöȻͣҩ£¬ÓпÉÄܳöÏÖ»µÑª²¡Ö¢×´£¬¹ÊÒËÖð²½¼õÁ¿Í£Ò©¡£
¡¾Ôи¾¼°²¸ÈéÆÚ¸¾Å®ÓÃÒ©¡¿±¾Æ·¿Éͨ¹ýÌ¥ÅÌ£¬ÅÅйÈëÈéÖ¡£Ôи¾´ó¼ÁÁ¿·þÓÃʱ£¬»¹¿É²úÉúÓ¤¶ù»µÑª²¡¡£
¡¾¶ùͯÓÃÒ©¡¿ÍƼö´¶ÊÂÖðÈÕÉãÈëÁ¿(RDA£¬1980)£º4¡«6Ëê³à×Ó45mg£¬7ËêÒÔÉϰ´³ÉÈ˼Æ60mg£¬Î´¾Ö¤ÊµÓÐЧʱ£¬²»ÒËÀûÓôóÓÚ10±¶ÉÏÊö¼ÁÁ¿¡£
¡¾ÀÏÄêÓÃÒ©¡¿Éв»Ã÷È·¡£
¡¾Ò©ÎïÏ໥×÷Óá¿1¡¢´ó¼ÁÁ¿Î¬ÉúËØC¿É×ÌÈÅ¿¹ÄýÒ©µÄ¿¹Äý³ÉЧ¡£2¡¢Óë°Í±ÈÍ×»òÆËÃ×ͪµÈºÏÓ㬿ɴÙʹάÉúËØCµÄÉø³öÔö³¤¡£3¡¢ÏËÎ¬ËØÁ×ËáÄÆ¿É´ÙʹάÉúËØC´úлΪ²ÝËáÑΡ£4¡¢³Ö¾Ã»ò´óÁ¿ÀûÓÃάÉúËØCʱ£¬ÄÜ×ÌÈÅË«ÁòÂØ¶ÔÒÒ´¼µÄ×÷Óá£5¡¢Ë®ÑîËáÀàÄÜÔö³¤Î¬ÉúËØCµÄÉø³ö¡£6¡¢²»ÒËÓë¼îÐÔÒ©Îï(È簱ݱ¼î¡¢Ì¼ËáÇâÄÆ¡¢¹È°±ËáÄÆµÈ)¡¢ºË»ÆËØ¡¢ÈýÂÈÊå¶¡´¼¡¢Í¡¢ÌúÀë×Ó(΢Á¿)µÄÈÜÒºÅäÎ飬ÒÔÃâÓ°ÏìÁÆÐ§¡£7¡¢ÓëάÉúËØK3ÅäÎ飬ÒòºóÕßÓÐÑõ»¯ÐÔ£¬¿É²úÉúÑõ»¯»¹Ô·´Ó³£¬Ê¹Á½ÕßÁÆÐ§¼õÈõ»òÒþû¡£8¡¢±¾Æ·Óë°±²è¼î¡¢²©À´Ã¹ËØ¡¢Í·æßßòÁÖ¡¢Í·æßÆ¥ßø¡¢½áºÏ´Æ¼¤ËØ¡¢ÓÒÐýÌÇôû¡¢¶àɳÆÕÂØ¡¢ºìÃ¹ËØ¡¢¼×ÑõÃ¹ËØ¡¢ÇàÃ¹ËØG¡¢Î¬ÉúËØK¡¢»ª·¨ÁÖ¡¢³Á̼ËáÄÆÅäÎé½û¼É¡£
¡¾Ò©Îï¹ýÁ¿¡¿ÖðÈÕ1¡«4g£¬¿ÉÒýÆð¸¹Ðº¡¢Æ¤ÕθËáÔö¶à¡¢Î¸Òº·´Á÷£¬ÓÐʱÉпɼûÃÚÄòϵͳ½áʯ¡¢ÄòÄÚ²ÝËáÑÎÓëÄòËáÑÎÅųöÔö¶à¡¢Éî¾²ÂöѪ˨Ðγɡ¢Ñª¹ÜÄÚÈÜѪ»òÄýѪµÈ£¬ÓÐʱ¿Éµ¼Ö°×ϸ°ûÍÌÊÉÄÜÁ¦½µµÍ¡£ÖðÈÕÓÃÁ¿³¬¹ý5gʱ£¬¿Éµ¼ÖÂÈÜѪ£¬³ÁÕß¿ÉÖÂÃü¡£
¡¾Ò©Àí¶¾Àí¡¿±¾Æ·ÎªÎ¬ÉúËØÀàÒ©¡£Î¬ÉúËØC²Î¼Ó°±»ùËá´úл¡¢Éñ¾µÝÖʵĺϳɡ¢½ºÔµ°°×ºÍ×é֯ϸ°û¼äÖʵĺϳɣ¬¿É½µµÍëϸѪ¹ÜµÄͨ͸ÐÔ£¬¼Ó¿ìѪҺµÄÄý¹Ì£¬´Ì¼¤ÄýѪְÄÜ£¬ÍƽøÌúÔÚ³¦ÄÚÎüÊÕ£¬´ÙʹѪ֬½µÂ䣬Ôö³¤¶ÔϰȾµÄµÖ¿¹Á¦£¬²Î¼Ó½â¶¾Ö°ÄÜ£¬ÇÒÓп¹×é°·µÄ×÷Óü°×èÖ¹Ö°©ÎïÖÊ(ÑÇÏõ°·)ÌìÉúµÄ×÷Óá£
¡¾Ò©´ú¶¯Á¦Ñ§¡¿µ°°×½áºÏÂʵ͡£ÉÙÁ¿Öü²ØÓÚѪ½¬ºÍϸ°û£¬ÒÔÏÙÌå×éÖ¯ÄÚµÄŨ¶ÈΪ×î¸ß¡£¸ÎÄÚ´úл¡£¼«ÉÙÊýÒÔÕæÏàÎï»ò´úлÎï¾ÉöÉø³ö£¬µ±Ñª½¬Å¨¶È>14¦Ìg/mlʱ£¬ÄòÄÚÅųöÁ¿Ôö¶à¡£¿É¾ÑªÒºÍ¸Îö¶Ï¸ù¡£
¡¾Öü²Ø¡¿Õڹ⣬ÃܹØ(10¡«30¡æ)±£Áô¡£
¡¾°ü×°¡¿Î÷ÁÔì¿×°¡£10Ö§/ºÐ¡£
¡¾ÓÐЧÆÚ¡¿24¸öÔ¡£
¡¾Ö´Ðг߶ȡ¿wS-10001-(HD-0070)-2002-2011
¡¾ºË×¼Îĺš¿¹úÒ©×¼×ÖH20063783
¡¾ÉÏÊÐÐí¿É³ÖÓÐÈË¡¿Ãû³Æ£ºÉ½Î÷Å·²©ABG̩ʢÔìÒ©ÓÐÏÞ¹«Ë¾
×¢²áµØÖ·£ºÉ½Î÷Ê¡´óͬÊо¼Ã¼¼Êõ¿ª·¢ÇøµÚÒ»Ò½Ò©Ô°Çø
¡¾³ö²úÆóÒµ¡¿ÆóÒµÃû³Æ£ºÉ½Î÷Å·²©ABG̩ʢÔìÒ©ÓÐÏÞ¹«Ë¾
³ö²úµØÖ·£ºÉ½Î÷Ê¡´óͬÊо¼Ã¼¼Êõ¿ª·¢ÇøµÚÒ»Ò½Ò©Ô°Çø
ÓÊÕþ±àÂ룺037300
µç»°ºÅÂ룺0352¡ª7290991
´«ÕæºÅÂ룺0352¡ª7290990

¡¾Ò©Æ·Ãû³Æ¡¿Í¨ÓÃÃû³Æ£º×¢ÉäÓÃάÉúËØC
Ó¢ÎÄÃû³Æ£ºVitamin C for Injection
ººÓïÆ´Òô£ºZhusheyong WeishengsuC
¡¾³É·Ý¡¿±¾Æ·ÖØÒª³É·ÝΪάÉúËØC£¬»¯Ì¨¸¦³ÆÎªL-¿¹»µÑªËá¡£
Æä½á¹¹Ê½Îª£º

·Ö×Óʽ£ºC6H8O6
·Ö×ÓÁ¿£º176.13
È«Êý¸¨ÁÏÃû³ÆÎª£º¸Ê¶´¼¡¢Ì¼ËáÇâÄÆ¡¢°ëë×°±Ëá¡¢ÑÇÁòËáÇâÄÆ¡¢ÒÒ¶þ°·ËÄÒÒËá¶þÄÆ¡£
¡¾ÐÔ×´¡¿±¾Æ·Îª°×É«»òÀà°×É«ÊèËÉ¿é×´Îï»ò·ÛÄ©»ò½á¾§ÐÔ·ÛÄ©£»ÎÞ³ô£¬¾ÃÖÃÉ«½¥±ä΢»Æ¡£
¡¾ÊÊÓ¦Ö¢¡¿ºÏÓÃÓÚ£º·ÀÖλµÑª²¡ºÍ¸÷À༱ÂýÐÔ´«È¾ÐÔ¼²²¡¼°×Ïñ°µÈ¸¨ÖúÒ½ÖΣ¬´ó¼ÁÁ¿¾²Âö×¢ÉäÓÃÓÚ¿Ëɽ֢£¬ÐÄÔ´ÐÔÐÝ¿Ëʱ¼±¾È¡£±¾Æ·Òà¿ÉÓÃÓÚÂýÐÔÌúÖж¾¡¢ÌØ·¢ÐÔ¸ßÌúѪºìµ°°×Ѫ֢µÄÒ½ÖΡ£ÏÂÁÐÇé¿ö¶ÔάÉúËØCµÄ±ØÒªÁ¿Ôö³¤£º(1)²¡È˽ÓÊÜÂýÐÔѪҺ͸Îö¡¢³¦Î¸Â·¼²²¡(³Ö¾Ã¸¹Ðº¡¢Î¸»ò»Ø³¦ÇгýÊõºó)¡¢½áºË²¡¡¢°©Ö¢¡¢À£Ññ²¡¡¢¼××´ÏÙÖ°ÄÜ¿º½ø¡¢·¢ÈÈ¡¢Ï°È¾¡¢´´ÉË¡¢ÉÕÉË¡¢ÊÖÊõµÈ¡£(2)ÒòÑϸñ½ÚÔì»òÑ¡ÔñÒûʳ£¬½ÓÊܳ¦Â·±íÓªÑøµÄ²¡ÈË£¬ÒòÓªÑø²»Á¼£¬Ìå³ÁÖè½µ£¬ÒÔ¼°ÔÚ»³Ì¥ÆÚºÍ²¸ÈéÆÚ¡£(3)ÀûÓðͱÈÍ×Àà¡¢ËÄ»·ËØÀࡢˮÑîËáÀà¡¢»òÒÔάÉúËØC×÷ΪÃÚÄòϵͳËữҩʱ¡£
¡¾¹æ¸ñ¡¿1.0g
¡¾Ó÷¨ÓÃÁ¿¡¿¼¡ÄÚ»ò¾²Âö×¢É䣬³ÉÈËÿ´Î100¡«250mg£¬ÖðÈÕ1¡«3´Î£»³à×ÓÖðÈÕ100¡«300mg£¬·Ö´Î×¢Éä¡£¾ÈÖοËɽ²¡¿ÉÓôó¼ÁÁ¿£¬Ðè×ñÒ½Öö¡£
¡¾²»Á¼·´Ó³¡¿1¡¢³Ö¾ÃÀûÓÃÖðÈÕ2¡«3g¿ÉÒýÆðÍ£Ò©ºó»µÑª²¡¡£2¡¢³Ö¾ÃÀûÓôóÁ¿Î¬ÉúËØCż¿ÉÒýÆðÄòËáÑΡ¢°ëë×°±ËáÑλò²ÝËáÑνáʯ¡£3¡¢¼±¾ç¾²Âö×¢Éä¿ÉÒýÆðÍ·ÔΡ¢ÔÎØÊ¡£
¡¾½û¼É¡¿Éв»Ã÷È·¡£
¡¾µ±¿àÖÔÏî¡¿1¡¢Î¬ÉúËØC¶ÔÏÂÁÐÇé¿öµÄ×÷ÓÃδ±»Ö¤Êµ£ºÔ¤·À»òÒ½Öΰ©Ö¢¡¢ÑÀö¸Ñס¢»¯Å§¡¢³öѪ¡¢ÑªÄò¡¢ÊÓÍøÄ¤³öѪ¡¢ÒÖÓôÖ¢¡¢ÖûÑÀ¡¢ÑªÐé¡¢ðî´¯¡¢²»ÓýÖ¢¡¢Ë¥ÀÏ¡¢¶¯ÂöÓ²»¯¡¢À£Ññ²¡¡¢½áºË¡¢Á¡¼²¡¢½ºÔÐÔ¼²²¡¡¢¹ÇÕÛ¡¢Æ¤·ôÀ£Ññ¡¢¿Ý²ÝÈÈ¡¢Ò©ÎïÖж¾¡¢Ñª¹Ü˨Èû¡¢¸ÐðµÈ¡£2¡¢¶ÔÕï¶ÏµÄ×ÌÈÅ¡£´óÁ¿·þÓý«Ó°ÏìÒÔÏÂÕï¶ÏÐÔÊÔÑéµÄÁ˾֣º(1)´ó±ãÒþѪ¿ÉÖ¼ÙÑôÐÔ¡£(2)ÄÜ×ÌÈÅѪÇåÈéËáÍÑÇâøºÍѪÇå°±»ù×ªÒÆÃ¸Å¨¶ÈµÄ×Ô¶¯·ÖÎöÁ˾֡£(3)ÄòÌÇ(ÁòËáÍ·¨)¡¢ÆÏÌÑÌÇ(Ñõ»¯Ã¸·¨)¾ù¿ÉÖ¼ÙÑôÐÔ¡£(4)ÄòÖвÝËáÑΡ¢ÄòËáÑκͰëë×°±ËáµÈŨ¶ÈÔö¸ß¡£(5)ѪÇ嵨ºìËØÅ¨¶È½µÂä¡£(6)ÄòpH½µÂä¡£3¡¢ÏÂÁÐÇé¿öÓ¦É÷Óãº(1)°ëë×°±ËáÄòÖ¢¡£(2)Í´·ç¡£(3)¸ß²ÝËáÑÎÄòÖ¢¡£(4)²ÝËáÑγÁ»ýÖ¢¡£(5)ÄòËáÑÎÐÔÉö½áʯ¡£(6)ÌÇÄò²¡(ÒòάÉúËØC¿ÉÄÜ×ÌÈÅѪÌǶ¨Á¿)¡£(7)ÆÏÌÑÌÇ-6-Á×ËáÍÑÇâø²»×ãÖ¢¡£(8)³àÉ«²¡¡£(9)ÌúÁ£Ó×ϸ°ûÐÔѪÐé»òµØÖк£ÑªÐé¡£(10)ÁÐκìϸ°ûѪÐé¡£4¡¢³Ö¾Ã´óÁ¿·þÓúöȻͣҩ£¬ÓпÉÄܳöÏÖ»µÑª²¡Ö¢×´£¬¹ÊÒËÖð²½¼õÁ¿Í£Ò©¡£
¡¾Ôи¾¼°²¸ÈéÆÚ¸¾Å®ÓÃÒ©¡¿±¾Æ·¿Éͨ¹ýÌ¥ÅÌ£¬ÅÅйÈëÈéÖ¡£Ôи¾´ó¼ÁÁ¿·þÓÃʱ£¬»¹¿É²úÉúÓ¤¶ù»µÑª²¡¡£
¡¾¶ùͯÓÃÒ©¡¿ÍƼö´¶ÊÂÖðÈÕÉãÈëÁ¿(RDA£¬1980)£º4¡«6Ëê³à×Ó45mg£¬7ËêÒÔÉϰ´³ÉÈ˼Æ60mg£¬Î´¾Ö¤ÊµÓÐЧʱ£¬²»ÒËÀûÓôóÓÚ10±¶ÉÏÊö¼ÁÁ¿¡£
¡¾ÀÏÄêÓÃÒ©¡¿Éв»Ã÷È·¡£
¡¾Ò©ÎïÏ໥×÷Óá¿1¡¢´ó¼ÁÁ¿Î¬ÉúËØC¿É×ÌÈÅ¿¹ÄýÒ©µÄ¿¹Äý³ÉЧ¡£2¡¢Óë°Í±ÈÍ×»òÆËÃ×ͪµÈºÏÓ㬿ɴÙʹάÉúËØCµÄÉø³öÔö³¤¡£3¡¢ÏËÎ¬ËØÁ×ËáÄÆ¿É´ÙʹάÉúËØC´úлΪ²ÝËáÑΡ£4¡¢³Ö¾Ã»ò´óÁ¿ÀûÓÃάÉúËØCʱ£¬ÄÜ×ÌÈÅË«ÁòÂØ¶ÔÒÒ´¼µÄ×÷Óá£5¡¢Ë®ÑîËáÀàÄÜÔö³¤Î¬ÉúËØCµÄÉø³ö¡£6¡¢²»ÒËÓë¼îÐÔÒ©Îï(È簱ݱ¼î¡¢Ì¼ËáÇâÄÆ¡¢¹È°±ËáÄÆµÈ)¡¢ºË»ÆËØ¡¢ÈýÂÈÊå¶¡´¼¡¢Í¡¢ÌúÀë×Ó(΢Á¿)µÄÈÜÒºÅäÎ飬ÒÔÃâÓ°ÏìÁÆÐ§¡£7¡¢ÓëάÉúËØK3ÅäÎ飬ÒòºóÕßÓÐÑõ»¯ÐÔ£¬¿É²úÉúÑõ»¯»¹Ô·´Ó³£¬Ê¹Á½ÕßÁÆÐ§¼õÈõ»òÒþû¡£8¡¢±¾Æ·Óë°±²è¼î¡¢²©À´Ã¹ËØ¡¢Í·æßßòÁÖ¡¢Í·æßÆ¥ßø¡¢½áºÏ´Æ¼¤ËØ¡¢ÓÒÐýÌÇôû¡¢¶àɳÆÕÂØ¡¢ºìÃ¹ËØ¡¢¼×ÑõÃ¹ËØ¡¢ÇàÃ¹ËØG¡¢Î¬ÉúËØK¡¢»ª·¨ÁÖ¡¢³Á̼ËáÄÆÅäÎé½û¼É¡£
¡¾Ò©Îï¹ýÁ¿¡¿ÖðÈÕ1¡«4g£¬¿ÉÒýÆð¸¹Ðº¡¢Æ¤ÕθËáÔö¶à¡¢Î¸Òº·´Á÷£¬ÓÐʱÉпɼûÃÚÄòϵͳ½áʯ¡¢ÄòÄÚ²ÝËáÑÎÓëÄòËáÑÎÅųöÔö¶à¡¢Éî¾²ÂöѪ˨Ðγɡ¢Ñª¹ÜÄÚÈÜѪ»òÄýѪµÈ£¬ÓÐʱ¿Éµ¼Ö°×ϸ°ûÍÌÊÉÄÜÁ¦½µµÍ¡£ÖðÈÕÓÃÁ¿³¬¹ý5gʱ£¬¿Éµ¼ÖÂÈÜѪ£¬³ÁÕß¿ÉÖÂÃü¡£
¡¾Ò©Àí¶¾Àí¡¿±¾Æ·ÎªÎ¬ÉúËØÀàÒ©¡£Î¬ÉúËØC²Î¼Ó°±»ùËá´úл¡¢Éñ¾µÝÖʵĺϳɡ¢½ºÔµ°°×ºÍ×é֯ϸ°û¼äÖʵĺϳɣ¬¿É½µµÍëϸѪ¹ÜµÄͨ͸ÐÔ£¬¼Ó¿ìѪҺµÄÄý¹Ì£¬´Ì¼¤ÄýѪְÄÜ£¬ÍƽøÌúÔÚ³¦ÄÚÎüÊÕ£¬´ÙʹѪ֬½µÂ䣬Ôö³¤¶ÔϰȾµÄµÖ¿¹Á¦£¬²Î¼Ó½â¶¾Ö°ÄÜ£¬ÇÒÓп¹×é°·µÄ×÷Óü°×èÖ¹Ö°©ÎïÖÊ(ÑÇÏõ°·)ÌìÉúµÄ×÷Óá£
¡¾Ò©´ú¶¯Á¦Ñ§¡¿µ°°×½áºÏÂʵ͡£ÉÙÁ¿Öü²ØÓÚѪ½¬ºÍϸ°û£¬ÒÔÏÙÌå×éÖ¯ÄÚµÄŨ¶ÈΪ×î¸ß¡£¸ÎÄÚ´úл¡£¼«ÉÙÊýÒÔÕæÏàÎï»ò´úлÎï¾ÉöÉø³ö£¬µ±Ñª½¬Å¨¶È>14¦Ìg/mlʱ£¬ÄòÄÚÅųöÁ¿Ôö¶à¡£¿É¾ÑªÒºÍ¸Îö¶Ï¸ù¡£
¡¾Öü²Ø¡¿Õڹ⣬ÃܹØ(10¡«30¡æ)±£Áô¡£
¡¾°ü×°¡¿Î÷ÁÔì¿×°¡£10Ö§/ºÐ¡£
¡¾ÓÐЧÆÚ¡¿24¸öÔ¡£
¡¾Ö´Ðг߶ȡ¿wS-10001-(HD-0070)-2002-2011
¡¾ºË×¼Îĺš¿¹úÒ©×¼×ÖH20063783
¡¾ÉÏÊÐÐí¿É³ÖÓÐÈË¡¿Ãû³Æ£ºÉ½Î÷Å·²©ABG̩ʢÔìÒ©ÓÐÏÞ¹«Ë¾
×¢²áµØÖ·£ºÉ½Î÷Ê¡´óͬÊо¼Ã¼¼Êõ¿ª·¢ÇøµÚÒ»Ò½Ò©Ô°Çø
¡¾³ö²úÆóÒµ¡¿ÆóÒµÃû³Æ£ºÉ½Î÷Å·²©ABG̩ʢÔìÒ©ÓÐÏÞ¹«Ë¾
³ö²úµØÖ·£ºÉ½Î÷Ê¡´óͬÊо¼Ã¼¼Êõ¿ª·¢ÇøµÚÒ»Ò½Ò©Ô°Çø
ÓÊÕþ±àÂ룺037300
µç»°ºÅÂ룺0352¡ª7290991
´«ÕæºÅÂ룺0352¡ª7290990
