jk.zdjt.com.png?v=1
2b96ae29cd6dbfbc08c54680a5b4cf2d
注射用胞磷胆碱钠
【成  份】本品重要成份为胞磷胆碱钠,其化台甫为胆碱胞嘧啶核苷二磷酸酯的单钠盐 。
【职能主治】用于急性颅脑表伤及脑手术后的意识阻碍 。
【规  格】0.5g
【核准文号】国药准字H20057845
产品注明

【药品名称】通用名称:注射用胞磷胆碱钠

        英文名称:Citicoline Sodium for Injection

        汉语拼音:Zhusheyong Baolindanjianna

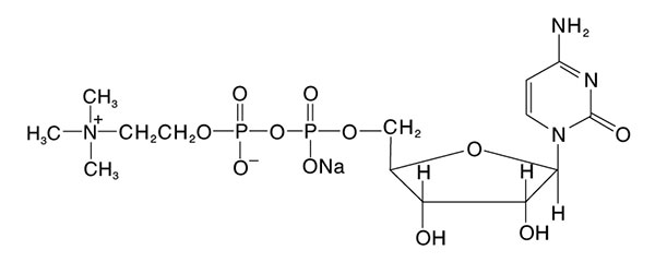
【成份】本品重要成份为胞磷胆碱钠,其化台甫为胆碱胞嘧啶核苷二磷酸酯的单钠盐 。

     其结构式为:

首页 - 欧博ABG集团官网登录

     分子式:C14H25N4NaO11P2

     分子量:510.31

     全数辅料名称为:甘露醇 。

【性状】本品为白色或类白色疏松块状物或白色结晶或结晶性粉末 。

【适应症】用于急性颅脑表伤及脑手术后的意识阻碍 。

【规格】0.5g

【用法用量】静脉滴注:每次0.25~0.5g,逐日1次,用5%或10%的葡萄糖注射液稀释后缓慢滴注 。5~10日为一疗程 。静脉注射:每次0.1~0.2g 。肌肉注射:逐日0.1~0.3g,分1~2次注射 。

【不良反映】1、全身:偶见发热、倦怠、过敏样反映,严沉者有过敏性休克的汇报 。2、心血管系统:偶见临时性血压降落、心动过缓和心动过快 。3、消化系统:偶见恶心、呕吐、食欲不振、胃痛、胃烧灼赣注腹泻和肝职能异常 。4、呼吸系统:有产生过敏性哮喘的汇报,严沉者可出现呼吸难题和喉水肿 。5、神经系统:偶见眩晕、震颤、头痛、失眠、兴奋、烦躁不安和痉挛 。6、皮肤五官:偶见皮疹及一过性复视 。

【禁忌】对本品过敏者禁用 。

【当苦衷项】1、有药物过敏史的患者慎用;2、对伴有脑出血、脑水肿和颅压增高的严沉急性颅脑危险患者慎用;3、癫痫及低血压患者慎用;4、静脉注射时应尽量放慢给药快率;5、肌注通常不选取,若用时应时时更换注射部位 。

【孕妇及哺乳期妇女用药】孕妇及哺乳期妇女用药的安全有效性尚未确立 。孕妇及哺乳期妇女慎用 。

【儿童用药】凭据病情和春秋适当调整剂量 。

【老年用药】凭据病情和春秋适当调整剂量 。

【药物相互作用】本品用于震颤麻木病人时,不宜与左旋多巴合用,不然可引起肌僵直恶化 。

【药物过量】用量过大,可能有恶心、呕吐、食欲不振、头痛、失眠、兴奋、痉挛等症状,可减量,并对症处置 。

【药理毒理】胞磷胆碱为核苷衍生物,可加强脑干网状结构、尤其是与意识亲昵有关的上行网状结构激昂系统的机能;加强椎体系统的机能,改善活动麻木;改善大脑循环,通过削减大脑血流阻力,增长大脑血流而推进大脑物质代谢,对推进大脑职能复原和推进复苏等拥有肯定作用 。

【药代动力学】本品注射后血药浓度迅快降落,30分钟降至注入时的1/3,1~2幼时根基不变,散布以肝内最多,占10% 。在肝脏代谢为游离胆碱和胞苷二磷酸,重要经肾脏和肺断根,原药半衰期为3.5幼时,重要代谢物胆碱的断根半衰期为2幼时 。本品较难通过血脑樊篱,进入脑内的药物很少,仅占0.1%,但药物在脑内停顿功夫很长,注射后3幼时内药物浓度达峰值,并在24幼时内维持不变;并且危险脑比正常脑、受损半球比未受损半球的胞磷胆碱含量显著升高 。

【贮藏】遮光,密关( 10~30℃)保留 。

【包装】西猎炜装 。10支/盒 。

【有效期】24个月

【执行尺度】《中国药典》2020年版二部

【核准文号】国药准字H20057845

【上市许可持有人】名称:山西欧博ABG泰盛造药有限公司

            注册地址:山西省大同市经济技术开发区第一医药园区

【出产企业】企业名称:山西欧博ABG泰盛造药有限公司

        出产地址:山西省大同市经济技术开发区第一医药园区

        邮政编码:037300

        电话号码:0352-7290991

        传真号码:0352-7290990

2b96ae29cd6dbfbc08c54680a5b4cf2d
注射用胞磷胆碱钠
【成  份】本品重要成份为胞磷胆碱钠,其化台甫为胆碱胞嘧啶核苷二磷酸酯的单钠盐 。
【职能主治】用于急性颅脑表伤及脑手术后的意识阻碍 。
【规  格】0.5g
【核准文号】国药准字H20057845
产品注明

【药品名称】通用名称:注射用胞磷胆碱钠

        英文名称:Citicoline Sodium for Injection

        汉语拼音:Zhusheyong Baolindanjianna

【成份】本品重要成份为胞磷胆碱钠,其化台甫为胆碱胞嘧啶核苷二磷酸酯的单钠盐 。

     其结构式为:

首页 - 欧博ABG集团官网登录

     分子式:C14H25N4NaO11P2

     分子量:510.31

     全数辅料名称为:甘露醇 。

【性状】本品为白色或类白色疏松块状物或白色结晶或结晶性粉末 。

【适应症】用于急性颅脑表伤及脑手术后的意识阻碍 。

【规格】0.5g

【用法用量】静脉滴注:每次0.25~0.5g,逐日1次,用5%或10%的葡萄糖注射液稀释后缓慢滴注 。5~10日为一疗程 。静脉注射:每次0.1~0.2g 。肌肉注射:逐日0.1~0.3g,分1~2次注射 。

【不良反映】1、全身:偶见发热、倦怠、过敏样反映,严沉者有过敏性休克的汇报 。2、心血管系统:偶见临时性血压降落、心动过缓和心动过快 。3、消化系统:偶见恶心、呕吐、食欲不振、胃痛、胃烧灼赣注腹泻和肝职能异常 。4、呼吸系统:有产生过敏性哮喘的汇报,严沉者可出现呼吸难题和喉水肿 。5、神经系统:偶见眩晕、震颤、头痛、失眠、兴奋、烦躁不安和痉挛 。6、皮肤五官:偶见皮疹及一过性复视 。

【禁忌】对本品过敏者禁用 。

【当苦衷项】1、有药物过敏史的患者慎用;2、对伴有脑出血、脑水肿和颅压增高的严沉急性颅脑危险患者慎用;3、癫痫及低血压患者慎用;4、静脉注射时应尽量放慢给药快率;5、肌注通常不选取,若用时应时时更换注射部位 。

【孕妇及哺乳期妇女用药】孕妇及哺乳期妇女用药的安全有效性尚未确立 。孕妇及哺乳期妇女慎用 。

【儿童用药】凭据病情和春秋适当调整剂量 。

【老年用药】凭据病情和春秋适当调整剂量 。

【药物相互作用】本品用于震颤麻木病人时,不宜与左旋多巴合用,不然可引起肌僵直恶化 。

【药物过量】用量过大,可能有恶心、呕吐、食欲不振、头痛、失眠、兴奋、痉挛等症状,可减量,并对症处置 。

【药理毒理】胞磷胆碱为核苷衍生物,可加强脑干网状结构、尤其是与意识亲昵有关的上行网状结构激昂系统的机能;加强椎体系统的机能,改善活动麻木;改善大脑循环,通过削减大脑血流阻力,增长大脑血流而推进大脑物质代谢,对推进大脑职能复原和推进复苏等拥有肯定作用 。

【药代动力学】本品注射后血药浓度迅快降落,30分钟降至注入时的1/3,1~2幼时根基不变,散布以肝内最多,占10% 。在肝脏代谢为游离胆碱和胞苷二磷酸,重要经肾脏和肺断根,原药半衰期为3.5幼时,重要代谢物胆碱的断根半衰期为2幼时 。本品较难通过血脑樊篱,进入脑内的药物很少,仅占0.1%,但药物在脑内停顿功夫很长,注射后3幼时内药物浓度达峰值,并在24幼时内维持不变;并且危险脑比正常脑、受损半球比未受损半球的胞磷胆碱含量显著升高 。

【贮藏】遮光,密关( 10~30℃)保留 。

【包装】西猎炜装 。10支/盒 。

【有效期】24个月

【执行尺度】《中国药典》2020年版二部

【核准文号】国药准字H20057845

【上市许可持有人】名称:山西欧博ABG泰盛造药有限公司

            注册地址:山西省大同市经济技术开发区第一医药园区

【出产企业】企业名称:山西欧博ABG泰盛造药有限公司

        出产地址:山西省大同市经济技术开发区第一医药园区

        邮政编码:037300

        电话号码:0352-7290991

        传真号码:0352-7290990